Inquiry




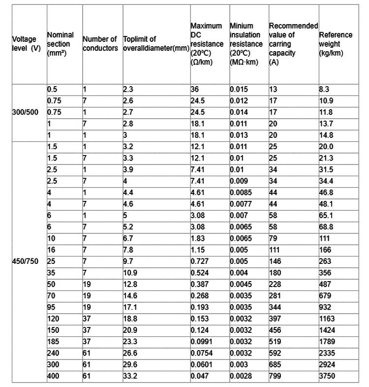
Nominal section (mm²) | Number of conductors | Toplimit of overall diameter (mm) | Maximum DC resistance(20℃)(Ω/km) | Minimum insulation resistance(70℃)(MΩ.km) | Recommended value of carrying capacity(A) | Reference weight(kg/kmm) |
2x0.75 | 1 | 4.6x7.1 | 24.5 | 0.012 | 13 | 42 |
2x1.0 | 1 | 4.8x7.4 | 18.1 | 0.011 | 16 | 49 |
2x1.5 | 1 | 5.3x8.5 | 12.1 | 0.011 | 20 | 65 |
2x2.5 | 1 | 6.2x10.1 | 7.41 | 0.010 | 27 | 97 |
2x4 | 1 | 6.7x11.1 | 4.61 | 0.0085 | 38 | 140 |
2x6 | 1 | 7.5x12.5 | 3.08 | 0.0070 | 50 | 192 |
2x10 | 2 | 9.5x16.2 | 1.83 | 0.0065 | 69 | 306 |
3x0.75 | 1 | 4.6x9.6 | 24.5 | 0.012 | 9.5 | 60 |
3x1.0 | 1 | 4.8x10.1 | 18.1 | 0.011 | 11 | 70 |
3x1.5 | 1 | 5.3x11.7 | 12.1 | 0.011 | 13 | 95 |
3x2.5 | 1 | 6.2x14.0 | 7.41 | 0.010 | 21 | 142 |
3x4 | 1 | 7.0x15.8 | 4.61 | 0.0085 | 27 | 213 |
3x6 | 1 | 7.5x17.5 | 3.08 | 0.0070 | 34 | 284 |
3x10 | 2 | 9.5x23.0 | 1.83 | 0.0065 | 55 | 457 |















Product packaging



